2021. február 21., vasárnap

Számtani Sorozat Képletek

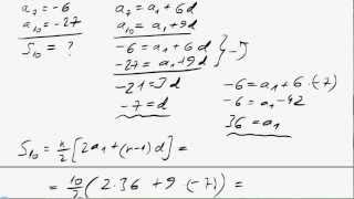
Számtani Sorozat Képletek. A számtani sorozat definíciójából következik: A számtani sorozat egy olyan számsorozat, amelyiknél bármely két szomszédos tag különbsége állandó.

Szamtani Sorozat Matematica Hu
Szamtani Sorozat Matematica Hu from vantus.hu
Triviális példák a csupa azonos elemből álló konstans sorozatok, hiszen ezekben két. A mértani sorozat viselkedése nemcsak a kvócienstől ( q ), hanem a sorozat első tagjától is függ. 2 * sorozatok és képletek gyors bevitele, másolása * különböző adatok kezelése a gyakorlati élet elvárásainak megfelelően * az adatok szemléltetése diagramon, a diagram automatikus módosítása az adatok elemzése:

Mivel az általánosítás nem csak egyféleképpen tehető meg, ezért ezen név alatt több dolog is érthető.

Osztály matematika sorozatok példák a mi közösségünkből. A számtani sorozat tulajdonságai (korlátossága, monotonitása) csak a differenciájától (d) függ. A számtani sorozat általános tagjának képlete, valamint összegképlete. Egy számtani sorozat első három tagjának összege 12, a harmadik, a negyedik és ötödik tagjának összege 30.


Nincsenek megjegyzések:

Megjegyzés küldése

Iklan Atas Artikel

Iklan Tengah Artikel 1

Iklan Tengah Artikel 2

Iklan Bawah Artikel