2021. május 16., vasárnap

Permutáció Képlet

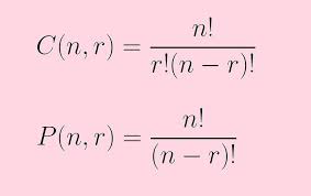
Permutáció Képlet. Ismétlés nélküli permutáció hányféleképpen lehet sorba rendezni n különböz elemet úgy, hogy a sorrend számít? 1 képlet 2 példa 3 feladatok 4 külső hivatkozások n elem ismétléses permutációinak száma , ha egymással megegyező elemekből darab van.

Kombinatorikai Algoritmusok Horvth Gyula S Szlvi Pter Eladsai
Kombinatorikai Algoritmusok Horvth Gyula S Szlvi Pter Eladsai from slidetodoc.com
Permutáció 1) ismétlés nélküli permutáció def:n elem ismétlés nélküli permutációjának nevezzük az n elem tetszőleges sorbarendezését, amennyiben az elemek nem ismétlődhetnek. A permutációk számára vonatkozó képlet segítségével több elemi kombinatorikai problémát is megoldhatunk. ( az összes elemmel el kell játszani ezt).

A kombinatorika (szó szerinti jelentése „kapcsolástan) a matematika azon területe, amely egy véges halmaz elemeinek valamilyen szabály alapján történő csoportosításával, kiválasztásával, sorrendbe rakásával foglalkozik.

N p r = n! Ismétlés nélküli permutáció hányféleképpen lehet sorba rendezni n különböz elemet úgy, hogy a sorrend számít? Különböző elem esetén, egy permutációját, elem ismétlés nélküli permutációjának nevezzük. Mivel a permutáció az, hogy milyen módon lehet elrendezni az objektumokat, ez mindig egy egész szám.


Nincsenek megjegyzések:

Megjegyzés küldése

Iklan Atas Artikel

Iklan Tengah Artikel 1

Iklan Tengah Artikel 2

Iklan Bawah Artikel